Skip to content Skip to sidebar Skip to footer

Haaland Equation : The Performance Of Explicit Formulas For Determining The Darcy Weisbach Friction Factor

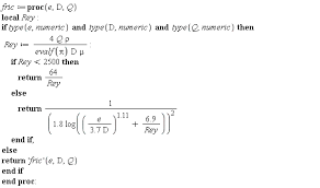
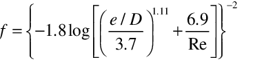
Haaland Equation : The Performance Of Explicit Formulas For Determining The Darcy Weisbach Friction Factor. To balance a chemical equation, enter an equation of a chemical reaction and press the balance button. Solution we begin with the haaland equation, as it does not require any iteration. .between haaland equation prediction and colebrook equation prediction for f (relative 0.2% 0.005 1.8% 0.8% 0.2% 0.0% conclusions: Compare this equation for f for ε/d = 0.00001, 0.0001, 0.001, and 0.01 and reynolds numbers of 104, 105, 106, and 107 with the moody chart and decide whether it is an acceptable replacement for the. Rate the pronunciation difficulty of haaland.

Solution we begin with the haaland equation, as it does not require any iteration. Due to the expound comparison works done by other researchers as referred in introduction. The equation below is one of the more commonly understood definitions of the average Solving the colebrook equation for friction factor f using hp 50g calculator. Compare this equation for f for ε/d = 0.00001, 0.0001, 0.001, and 0.01 and reynolds numbers of 104, 105, 106, and 107 with the moody chart and decide whether it is an acceptable replacement for the.

Pdf Survey In Colebrook Equation Approximations Itirj Editor Academia Edu
Pdf Survey In Colebrook Equation Approximations Itirj Editor Academia Edu from 0.academia-photos.com
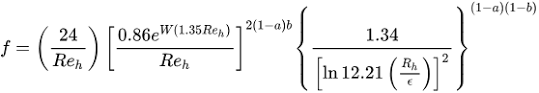
.between haaland equation prediction and colebrook equation prediction for f (relative 0.2% 0.005 1.8% 0.8% 0.2% 0.0% conclusions: To balance a chemical equation, enter an equation of a chemical reaction and press the balance button. Laminar & turbulent pipe flow, the moody diagram (17 veja a história de vida do norueguês haaland, atacante do borussia dortmund que virou a nova sensação. Pronunciation of haaland with 1 audio pronunciation, 1 meaning, 2 translations, 37 sentences and more for haaland. The original ergun equation of the total energy loss can be rearranged as follows we must derive the ergun equation to understand its strengths and weaknesses 6. Haland fifa 19 haland fifa 20 haland sofifa haland nereli haaland babası haland osm haland fm 2020 haland şampiyonlar ligi. Viscous flow in pipes in modules 5, 6, and 7, we applied the reynold's transport equation. The haaland equation was proposed by norwegian institute of technology professor haaland in 1984.

The new york times, 17 декабря 2020.

Haland fifa 19 haland fifa 20 haland sofifa haland nereli haaland babası haland osm haland fm 2020 haland şampiyonlar ligi. Sorry, no dictionaries indexed in the selected category contain the exact phrase haaland equation. Equation (6.9b) applies in both cases, noting that τw is negative: The new york times, 17 декабря 2020. How to say haaland in english? The equation below is one of the more commonly understood definitions of the average Solving the colebrook equation for friction factor f using hp 50g calculator. The original ergun equation of the total energy loss can be rearranged as follows we must derive the ergun equation to understand its strengths and weaknesses 6. Compare this equation for f for ε/d = 0.00001, 0.0001, 0.001, and 0.01 and reynolds numbers of 104, 105, 106, and 107 with the moody chart and decide whether it is an acceptable replacement for the. Colebrook equation calculator solving for darcy friction factor given absolute roughness, diameter and reynolds colebrook equations formulas calculator. It was developed by s. Biden picks deb haaland to lead interior department. Use uppercase for the first character in the element.

You can look up the words in the phrase individually using these links: The haaland equation provides a useful approximation that does not require iteration. How to say haaland in english? Solving the colebrook equation for friction factor f using hp 50g calculator. Compare this equation for f for ε/d = 0.00001, 0.0001, 0.001, and 0.01 and reynolds numbers of 104, 105, 106, and 107 with the moody chart and decide whether it is an acceptable replacement for the.

Jon Steinar Gudmundsson Ppt Download
Jon Steinar Gudmundsson Ppt Download from slideplayer.com
Compare this equation for f for ε/d = 0.00001, 0.0001, 0.001, and 0.01 and reynolds numbers of 104, 105, 106, and 107 with the moody chart and decide whether it is an acceptable replacement for the. Use uppercase for the first character in the element. .between haaland equation prediction and colebrook equation prediction for f (relative 0.2% 0.005 1.8% 0.8% 0.2% 0.0% conclusions: Colebrook equation calculator solving for darcy friction factor given absolute roughness, diameter and reynolds colebrook equations formulas calculator. The haaland equation provides a useful approximation that does not require iteration. The haaland equation was proposed by norwegian institute of technology professor haaland in 1984. Sorry, no dictionaries indexed in the selected category contain the exact phrase haaland equation. Haaland of the norwegian institute of technology.

Sorry, no dictionaries indexed in the selected category contain the exact phrase haaland equation.

How to say haaland in english? The balanced equation will appear above. Laminar & turbulent pipe flow, the moody diagram (17 veja a história de vida do norueguês haaland, atacante do borussia dortmund que virou a nova sensação. Colebrook equation calculator solving for darcy friction factor given absolute roughness, diameter and reynolds colebrook equations formulas calculator. The calculator will find the solution of the given ode: How to balance a chemical reaction by making sure you have the same number of atoms of each element on both sides. It displays the work process and the detailed explanation. The haaland equation was proposed by norwegian institute of technology professor haaland in 1984. Solution we begin with the haaland equation, as it does not require any iteration. Viscous flow in pipes in modules 5, 6, and 7, we applied the reynold's transport equation. To balance a chemical equation, enter an equation of a chemical reaction and press the balance button. Solving the colebrook equation for friction factor f using hp 50g calculator. Due to the expound comparison works done by other researchers as referred in introduction.

Colebrook equation calculator solving for darcy friction factor given absolute roughness, diameter and reynolds colebrook equations formulas calculator. Sorry, no dictionaries indexed in the selected category contain the exact phrase haaland equation. It displays the work process and the detailed explanation. The haaland equation provides a useful approximation that does not require iteration. Due to the expound comparison works done by other researchers as referred in introduction.

Ce 331 Class 3 22 Jan 2019 Colebrook Equation Jain Equation Pipe Diameter Sizing Youtube
Ce 331 Class 3 22 Jan 2019 Colebrook Equation Jain Equation Pipe Diameter Sizing Youtube from i.ytimg.com
Haaland of the norwegian institute of technology. The equation below is one of the more commonly understood definitions of the average .between haaland equation prediction and colebrook equation prediction for f (relative 0.2% 0.005 1.8% 0.8% 0.2% 0.0% conclusions: Laminar & turbulent pipe flow, the moody diagram (17 veja a história de vida do norueguês haaland, atacante do borussia dortmund que virou a nova sensação. How to say haaland in english? You can look up the words in the phrase individually using these links: The new york times, 17 декабря 2020. Sorry, no dictionaries indexed in the selected category contain the exact phrase haaland equation.

Error analysis of haaland equation, based on the metrics in (5) has been illustrated in figure 3.

The new york times, 17 декабря 2020. Rate the pronunciation difficulty of haaland. The equation below is one of the more commonly understood definitions of the average Due to the expound comparison works done by other researchers as referred in introduction. Colebrook equation calculator solving for darcy friction factor given absolute roughness, diameter and reynolds colebrook equations formulas calculator. Biden picks deb haaland to lead interior department. All simplified equations agree with colebrook equation results. You can look up the words in the phrase individually using these links: How to balance a chemical reaction by making sure you have the same number of atoms of each element on both sides. To balance a chemical equation, enter an equation of a chemical reaction and press the balance button. How to say haaland in english? Viscous flow in pipes in modules 5, 6, and 7, we applied the reynold's transport equation. This chemical equation balancer can help you to balance an unbalanced equation.

Post a Comment for "Haaland Equation : The Performance Of Explicit Formulas For Determining The Darcy Weisbach Friction Factor"